Home
About Us
Services
Products
API Impurities
R & D
Gallery
Contact Us
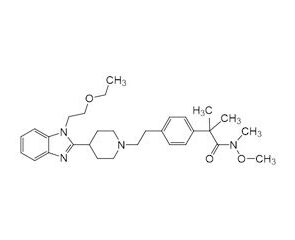
BILASTINE METHANE ETHANOL IMPURITY
Home
/
Bilastine
/ BILASTINE METHANE ETHANOL IMPURITY
BILASTINE METHANE ETHANOL IMPURITY
CAT No:
KSP-B9020
CAS No:
NA
Mol. F:
C27H35N3O3
Mol. Wt:
449.59
Common Name:
INHOUSE IMPURITY
Chemical Name:
2-(4-(2-(4-(1-(ethoxymethyl)-1H-benzo[d]imidazol-2-yl)piperidin-1-yl)ethyl)phenyl)-2-methylpropanoic acid
Category:
BILASTINE
Get Quote
BILASTINE METHANE ETHANOL IMPURITY
Please enable JavaScript in your browser to complete this form.
Please enable JavaScript in your browser to complete this form.
Product Name:
Full Name:
*
Email:
*
Company Name:
Contact No.:
Package:
Quantity:
Quantity
Milligram
Gram
Kilogram
Submit
Category:
Bilastine
Related products
BILASTINE KETO IMPURITY
Read more
BILASTINE META -ISOMER IMPURITY
Read more
BILASTINE MONO ACID IMPURITY
Read more